Szczegóły licytacji
Komornik Sądowy
przy Sądzie Rejonowym w Tomaszowie Mazowieckim
Patryk Turlik
Kancelaria Komornicza, Bartosza Głowackiego 1, Tomaszów Mazowiecki, 97-200 Tomaszów Mazowiecki
tel. 44 714 01 75 / fax.
Sygnatura: Km 537/25
OBWIESZCZENIE O PIERWSZEJ LICYTACJI NIERUCHOMOŚCI W DRODZE LICYTACJI ELEKTRONICZNEJ
Komornik Sądowy przy Sądzie Rejonowym w Tomaszowie Mazowieckim podaje do publicznej wiadomości, że w sprawie Km 537/25 w dniu: 11.12.2025 o godzinie: 10:00 rozpocznie się w trybie ustalonym w art. 9864 § 4 ustawy z dnia 17 listopada 1964 r. Kodeks postępowania cywilnego (dalej: kpc) pierwsza licytacja w trybie elektronicznym następujących nieruchomości:
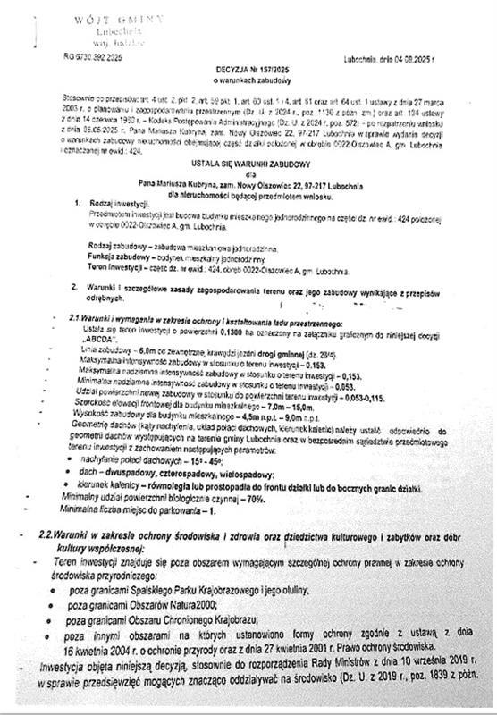
- nieruchomości położonej przy 22,Nowy Olszowiec, 97-217 Lubochnia, Olszowiec A, dla której Sąd Rejonowy w Tomaszowie Mazowieckim V Wydział Ksiąg Wieczystych (adres: ul. ul. Mościckiego 9, Tomaszów Mazowiecki, 97-200 Tomaszów Mazowiecki) prowadzi księgę wieczystą o numerze PT1T/00047509/8.
Opis nieruchomości:
UWAGA! Przedmiotem licytacji są wyłącznie działki nr 159, 424 objęte KW PT1T/00047509/8.
Działki 159 i 424 stanowią łącznie pas gruntu, którego granice przylegają do lokalnych (różnych) dróg
utwardzonych asfaltem.
Suma oszacowania wynosi 324 432,00 zł, zaś cena wywołania jest równa 3/4 sumy oszacowania i wynosi 243 324,00 zł.
W ciągu dwóch tygodni przed licytacją wolno oglądać wyżej wymienioną nieruchomość w dni powszednie od godz. 10:00 do godz. 14:00. W systemie teleinformatycznym udostępnia się natomiast protokół opisu i oszacowania.
Licytant przystępujący do przetargu powinien złożyć rękojmię w wysokości jednej dziesiątej sumy oszacowania, to jest kwotę 32 443,20 zł.
Rękojmię należy złożyć na rachunek bankowy komornika 79105014611000009030578224 najpóźniej na 2 dni robocze przed rozpoczęciem przetargu.
Sprzedaż dokonywana jest w drodze licytacji elektronicznej. Uczestnictwo w przetargu wymaga założenia konta w systemie teleinformatycznym obsługującym licytacje elektroniczne dostępnym pod adresem https://elicytacje.komornik.pl/ oraz przystąpienia do przetargu na dwa dni robocze przed jego rozpoczęciem. Licytant składa rękojmię najpóźniej na 2 dni robocze przed rozpoczęciem przetargu, a jeżeli bierze udział w licytacji jako pełnomocnik innej osoby, to przedkłada dodatkowo swoje umocowanie. Udział jednego licytanta wystarcza do odbycia przetargu.
Na podstawie art. 9864 § 2 kpc warunkiem udziału w przetargu jest utworzenie indywidualnego konta w systemie teleinformatycznym.
Licytacje wyżej wymienionych nieruchomości odbywają się w trybie elektronicznym i zakończą się w dniu: 18.12.2025 o godzinie: 14:00. Na podstawie art. 9867po § 31 kpc, jeżeli w ciągu 5 minut przed planowanym terminem zakończenia przetargu zgłoszono postąpienie, termin ten ulega odroczeniu o 5 minut. Jeżeli w dodatkowym czasie zgłoszono dalsze postąpienie, termin zakończenia przetargu podlega każdorazowo odroczeniu o kolejne 5 minut, aż do momentu gdy ustaną postąpienia.
Prawa osób trzecich nie będą przeszkodą do przeprowadzenia licytacji i przybicia na rzecz nabywcy bez zastrzeżeń, jeżeli osoby te przed rozpoczęciem przetargu nie złożą dowodu, że wniosły powództwo o zwolnienie przedmiotów od egzekucji i uzyskały w tym zakresie orzeczenie wstrzymujące egzekucję.
Użytkowanie, służebności i prawa dożywotnika, jeżeli nie są ujawnione w księdze wieczystej lub przez złożenie dokumentu do zbioru dokumentów i nie zostaną zgłoszone najpóźniej na trzy dni przed rozpoczęciem licytacji, nie będą uwzględnione w dalszym toku egzekucji i wygasną z chwilą uprawomocnienia się postanowienia o przysądzeniu własności.
Zgodnie z art. 976 kpc, w przetargu nie mogą uczestniczyć: dłużnik, komornik, ich małżonkowie, dzieci, rodzice i rodzeństwo oraz osoby obecne na licytacji w charakterze urzędowym, licytant, który nie wykonał warunków poprzedniej licytacji, osoby, które mogą nabyć nieruchomość tylko za zezwoleniem organu państwowego, a zezwolenia tego nie przedstawiły.
Komornik Sądowy
Patryk Turlik


