Szczegóły licytacji
Komornik Sądowy
przy Sądzie Rejonowym w Radomiu
Marek Wtorkiewicz
Kancelaria Komornicza, Staromiejska 7, Radom, 26-600 Radom
tel. 483634420 / fax. 483634420
Sygnatura: GKm 21/25
OBWIESZCZENIE O LICYTACJI RUCHOMOŚCI
Komornik Sądowy przy Sądzie Rejonowym w Radomiu Marek Wtorkiewicz Kancelaria Komornicza Nr XIV w Radomiu podaje do publicznej wiadomości, że w dniu 14-01-2026 o godz. 09:00 pod adresem: Radomskie Hale Mięsne - wejście od ul. Wernera, Wernera 10a, 26-600 Radom, odbędzie się w trybie ustalonym w art. 867 ustawą z dnia 17 listopada 1964 r. Kodeks postępowania cywilnego (dalej: kpc) pierwsza licytacja ruchomości składających się z:
| Lp. | Nazwa ruchomości | Liczba | Suma oszacowania | Cena wywołania | Wysokość najniższego postąpienia |
|---|---|---|---|---|---|
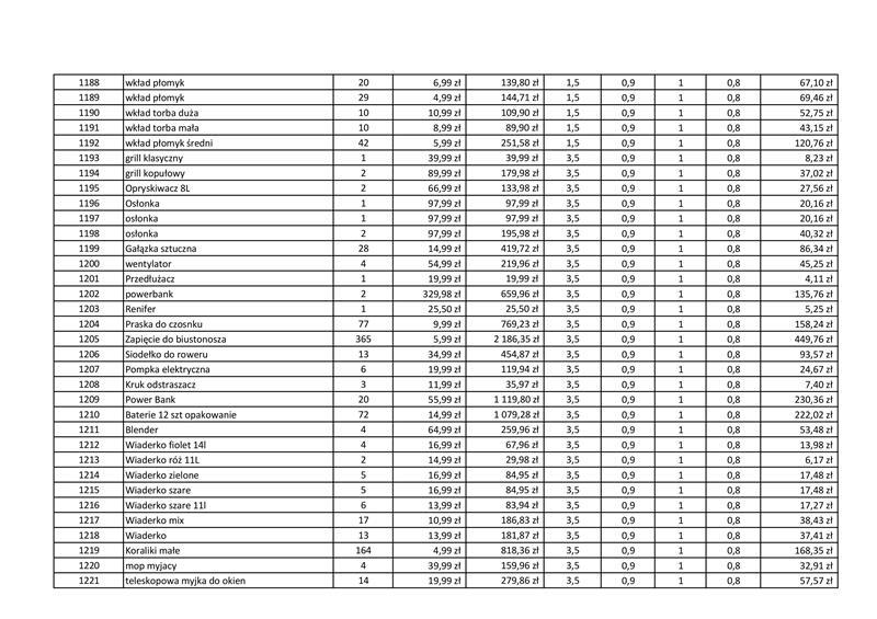
| 1 | Towar różnego asortymentu Wykaz ruchomości wraz z elaboratem szacunkowym znajduje się do wglądu w kancelarii komornika oraz umieszczony jest na stronie internetowej Krajowej Rady Komorniczej: licytacje.komornik.pl i na stronie internetowej komornika: komornikradom.eu. | 1 | 118 221,00 zł | 88 665,75 zł | 887,00 zł |
cena za sztukę
Wyżej wymienione ruchomości można oglądać pod adresem: ul. Wernera 10a, 26-600 Radom.
W dniu 14.01.2026 w godzinach od 09:00 do 09:00
Zgodnie z art. 8671. § 1 kpc przystępujący do przetargu jest obowiązany złożyć rękojmię w wysokości jednej dziesiątej sumy oszacowania, najpóźniej w dniu poprzedzającym przetarg.
Warunkiem udziału w licytacji jest złożenie rękojmi.
Rękojmię należy złożyć gotówką w kancelarii komornika lub na konto komornika: PKO BP SA 47 1020 2629 0000 9002 0316 0926.
Rękojmi nie składa się, jeżeli suma oszacowania jest niższa niż pięć tysięcy złotych. Stawienie się jednego licytanta wystarcza do odbycia przetargu.
Rękojmię złożoną przez licytanta, któremu udzielono przybicia, zatrzymuje się; pozostałym licytantom rękojmię zwraca się niezwłocznie (art. 8671 § 2 kpc ). Jeżeli nabywca nie wykonał w terminie warunków licytacji co do zapłaty ceny, traci rękojmię, a skutki przybicia wygasają. Z utraconej rękojmi pokrywa się koszty egzekucji związanej ze sprzedażą, a reszta wchodzi w skład sumy uzyskanej w egzekucji albo jeżeli egzekucja została umorzona jest przelewana na dochód Skarbu Państwa (art. 8671 § 3 kpc).
Zgodnie z art. 8672 § 4 kpc pełnomocnictwo do udziału w przetargu powinno być stwierdzone dokumentem z podpisem urzędowo poświadczonym, chyba że chodzi o pełnomocnictwo udzielone adwokatowi lub radcy prawnemu.
Na podstawie art. 8673 kpc postąpienie nie może wynosić mniej niż pięć procent ceny wywołania, a jeżeli wartość szacunkowa ruchomości przekracza sto tysięcy złotych mniej niż jeden procent ceny wywołania, z zaokrągleniem wzwyż do pełnych złotych.
Prawa osób trzecich nie będą przeszkodą do przeprowadzenia licytacji i przybicia na rzecz nabywcy bez zastrzeżeń, jeżeli osoby te przed rozpoczęciem przetargu nie złożą dowodu, że wniosły powództwo o zwolnienie przedmiotów od egzekucji i uzyskały w tym zakresie orzeczenie wstrzymujące egzekucję.
W przetargu nie mogą uczestniczyć: dłużnik, komornik, ich małżonkowie, dzieci, rodzice i rodzeństwo, osoby obecne na licytacji w charakterze urzędowym oraz licytant, który nie wykonał warunków poprzedniej licytacji.
Nabywca, który w przepisanym terminie nie uiści ceny w całości lub części, traci prawa wynikające z przybicia. Jeżeli nabywca nie uiści w terminie sumy przypadającej do zapłaty natychmiast przy udzieleniu przybicia, komornik wznowi niezwłocznie przetarg tych samych ruchomości, rozpoczynając od ceny wywołania, przy czym opieszały nabywca nie może nadal uczestniczyć w licytacji. W razie niezapłacenia w terminie reszty ceny płatnej dnia następnego po licytacji, będzie wyznaczona ponowna licytacja na warunkach pierwszej. Z sumy ściągniętej od nabywcy pokrywa się koszty związane z licytacją. Nadwyżkę należy wpłacić do kasy sądowej na rzecz Skarbu Państwa.
Komornik Sądowy
Marek Wtorkiewicz
Pouczenie:
Art. 867 1 kpc
§ 1. Przystępujący do przetargu jest obowiązany złożyć rękojmię w wysokości jednej dziesiątej sumy oszacowania, najpóźniej w dniu poprzedzającym przetarg. Rękojmi nie składa się, jeżeli suma oszacowania jest niższa niż pięć tysięcy złotych.
§ 2. Rękojmię złożoną przez licytanta, któremu udzielono przybicia, zatrzymuje się; pozostałym licytantom rękojmię zwraca się niezwłocznie.
§ 3. Jeżeli nabywca nie wykonał w terminie warunków licytacji co do zapłaty ceny, traci rękojmię, a skutki przybicia wygasają. Z utraconej rękojmi pokrywa się koszty egzekucji związanej ze sprzedażą, a reszta wchodzi w skład sumy uzyskanej w egzekucji albo jeżeli egzekucja została umorzona jest przelewana na dochód Skarbu Państwa.
§ 4. Rękojmi nie składa wierzyciel przystępujący do przetargu, któremu przysługuje wierzytelność o wartości nie niższej od wysokości rękojmi i jeżeli do tej wysokości jego wierzytelność oraz prawa korzystające z pierwszeństwa przed tą wierzytelnością znajdują pokrycie w cenie wywołania. Jeżeli wartość wierzytelności jest niższa od wysokości rękojmi albo znajduje tylko częściowe pokrycie w cenie wywołania, wysokość rękojmi obniża się - w pierwszym przypadku do różnicy między pełną rękojmią a wartością wierzytelności, w drugim przypadku - do części wartości wierzytelności niepokrytej w cenie wywołania.
Art. 871 kpc
Nabywca jest obowiązany zapłacić cenę nabycia natychmiast po udzieleniu mu przybicia. Gdy jednak cena nabycia przewyższa pięćset złotych, obowiązek nabywcy ogranicza się do złożenia natychmiast jednej piątej ceny, nie mniej jednak niż pięćset złotych, przy czym resztę ceny, na którą zalicza się złożoną rękojmię, uiszcza się w dniu następnym w godzinach urzędowania kancelarii komorniczej lub na rachunek bankowy komornika do godziny osiemnastej dnia następnego. Jeżeli ten dzień przypada w sobotę lub dzień ustawowo wolny od pracy, cenę uiszcza się w następnym dniu po dniu albo dniach wolnych od pracy.


